Définition d'une obligation
Qu'est ce qu'une obligation ?
Une obligation correspond à un emprunt émis par un investisseur comme les entreprises du secteur privé ou public, un État ou une personne morale, sur le marché dit obligataire. L'obligation permet de faire des investissements à moyen et long terme. Les obligations sont à dissocier des actions qui donnent la possibilité d'agir sur la gérance d'une société. En effet, les obligations permettent uniquement de percevoir un revenu qui correspond à des intérêts appelé "coupon". Une obligation est remboursée de manière annuelle mais aussi à l'échéance de celle-ci.
Les types d'obligations
- L'obligation à zéro coupon: L'obligation ne donne pas de revenu. L'investisseur obtient en retour sur investissement grâce à la différence entre le prix d'obtention de l'obligation et le remboursement à la date d'échéance. Par exemple, une obligation à zéro coupon peut avoir un prix d'obtention à 25% à la date d'émission. L'investisseur doit donc verser 25% de la valeur pour l'obtention de l'obligation mais sera rembourser à 100% de la valeur nominale au moment de l'échéance.
- L'obligation convertible : L'obligation peut être échanger contre des actions en fonction de sa valeur.
- Les obligations à taux fixes : le taux d'intérêt versé est constant quels que soit les rendements de la société dont on a acheté l'obligation
- Les obligations à taux variables : le taux d'intérêt évolue selon le marché (Euribor par exemple) et parfois selon l'inflation.
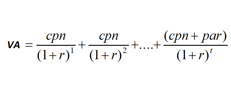
Comment évaluer le prix d'une obligation ?

- VA correspond à la valeur actualisée
- Cpn correspond au montant du coupon accordé au détenteur de l'obligation
- r est le taux d'actualisation (Yield To maturity, voir plus bas)
- par correpsond à la valeur nominal de l'obligation
Exemple d'une obligation d'une valeur d'obtention de 1000 €, un coupon de 60 € et une maturité de 3 ans:

Schéma de l'évolution du prix
Quelle est la valeur actuelle de cette obligation si on assume un taux d'actualisation de 2,15% ?
VALEUR ACTUELLE = 60/(1,0215)^1 + 60/(1,0215)^2 + 1060/(1,0215)^3
VALEUR ACTUELLE = 1110,70
Qu'est ce que le Yield to Maturity ?
Le Yield to maturity est appelé taux de rendement actuariel en français. Il équivaut au taux de rendement anticipé de l'obligation si cette dernière est conservée jusqu'à échéance. C'est en fait le taux d'actualisation évoqué dans le calcul précédant (r dans les formules plus haut).
Le risque d'une obligation
Le risque d'une obligation est évalué par les agences de notations telles que Moody's ou Standard and Poor's (S&P), à long terme comme à court terme.
Les notes de S&P à long terme:
| AAA | La note la plus élevée: Grande habilité à rembourser les intérêts de payement |
| AA+AAAA- | Haute qualité: forte probabilité de remboursement |
| A+AA- | Qualité moyenne supérieure |
| BBB+BBBBBB- | Qualité moyenne inférieure |
| BB+BBBB- | Fonds spéculatifs |
| B+BB- | Fonds hautement spéculatifs |
| CCC+CCCCCC- | Très spéculatifs: forte possibilité de défaut de paiement |
| D | En défaut de paiement |
Lexique Bourse : A - B - C - D - E - F - G - H - I - J - K - L - M - N - O - P - Q - R - S - T - U - V - W - X - Y - Z
Auteur de l'article :Benoist Rousseau est diplômé de l'université Paris-Sorbonne en histoire économique contemporaine et de la Certification Professionnelle des Acteurs des Marchés Financiers de l'AMF. Il a été professeur d'histoire pendant 12 ans avant de devenir trader en compte propre. Ancien Conseiller en Investissements Financiers, il est aussi écrivain. Son ouvrage "Devenez Trader Pro" est numéro 1 des ventes dans la catégorie bourse depuis de nombreux mois. Intervenant régulier sur TV Finance et divers médias, il est suivi par plus de 150.000 personnes sur les réseaux sociaux.
Laisser un commentaire
Avertissement : La négociation sur instruments financiers à effet de levier peut vous exposer à des risques de pertes supérieures aux dépôts et ne convient qu'à une clientèle avisée ayant les moyens financiers de supporter un tel risque. Les transactions sur instruments de change (forex) et contrats sur différence (CFD) sont hautement spéculatives et particulièrement complexes et s’accompagnent d’un niveau de risque élevé en raison de l’effet de levier. Vous devez vous assurer que vous comprenez comment ces instruments fonctionnent et que vous pouvez vous permettre de prendre le risque élevé de perdre votre argent. Les vidéos et les articles de ce site n’ont qu’une portée pédagogique et informative, ce ne sont pas des conseils en investissement ni une incitation quelconque à acheter ou vendre des instruments financiers. Tout investisseur doit se faire son propre jugement avant d'investir dans un produit financier afin qu'il soit adapté à sa situation financière, fiscale et légale.

Aucun Commentaire pour Définition d'une obligation Soyez le Premier !